สำหรับในเกม Warframe มือใหม่เข้ามาก็คงจะงงและสับสนกับระบบของเกมอยู่บ้าง ถึงแม้ในเกมจะมีเป็นพวกไกด์คอยแนะนำเอาไว้อยู่บ้างแล้ว แต่แค่นั้นมันยังไม่เพียงพอแน่ๆ ก็เลยรวบรวมสิ่งต่างๆ ที่มือใหม่ควรรู้เอาไว้ให้แล้ว
บทสรุปการเล่นตั้งแต่เควสแรก
มาเริ่มกันที่ไกด์แนะนำการเล่นของเราเลยก็แล้วกัน ต้องบอกก่อนว่าเควสบางอย่างภายในเกมนี้ไม่ได้มีการบอกรายละเอียดอะไรให้มือใหม่รู้เท่าไหร่นัก ดังนั้นในการเล่นก็จำเป็นต้องมีการอาศัยไกด์เกมให้ช่วยผ่าน โดยสามารถไล่เรียงดูจากเควสแรกได้เลยที่ บทสรุป รางวัลของ Vor แต่หากใครเล่นจบเควสแรกไปแล้วอยากจะตามรู้เควสอื่นๆ ก็ให้ไปดูสารบัญได้ที่ส่วน ข้อมูลเกม Warframe

การทำภารกิจ เน้นไปที่ทำตามเป้าหมายจบให้เร็วที่สุด
เชื่อว่ามือใหม่เวลาที่ลงไปทำภารกิจ ก็คงจะค่อยๆ ไล่ฆ่าศัตรูไปตามทางเรื่อย แต่วิธีการเล่นโดยปกติแล้วจะเน้นไปที่การทำภารกิจให้จบไวที่สุดต่างหาก อย่างภารกิจช่วยชีวิตตัวประกัน เน้นไปที่การวิ่งไปถึงตัวประกันแล้วช่วยออกมาให้เร็วที่สุดเท่านั้น ศัตรูจะรู้ตัวส่งสัญญาณเตือนอะไรก็ตาม ไม่จำเป็นต้องสนใจก็ได้ แค่ช่วยและวิ่งจบภารกิจก็พอแล้วล่ะ อีกตัวอย่างก็ภารกิจประเภทจับกุม ให้วิ่งเข้าไปจัดการเป้าหมายแล้ววิ่งจบทันที เป็นภารกิจที่จบได้ไวมาก ภายใน 1 นาทีก็จบภารกิจได้แล้ว ยิ่งถ้าได้เข้าร่วมปาร์ตี้กับผู้เล่นเก่าจะรู้เลยว่า แค่วิ่งตามให้ทันพวกเขาตลอดภารกิจก็เหนื่อยแล้ว

Platinum หน่วยเงินพิเศษ สายฟรีก็หาได้
สำหรับ Platinum นับว่าเป็นหน่วยเงินหลักที่สามารถใช้ได้หลากหลายอย่างมาก และที่สำคัญก็คือเอาไว้ใช้ในการแลกเปลี่ยนซื้อขายสินค้าระหว่างผู้เล่นด้วยกันเอง โดยปกติแล้ว Platinum จะได้จากการเติมเงินนี่แหละ แต่สำหรับสายฟรีในเกมนี้ เราสามารถหาแบบแปลนไอเทมระดับ Prime ต่างๆ หรือ Mod หายากในเกม มาขายเพื่อหา Platinum จากคนอื่นได้ แถมยังขายไม่ยากเลย ซึ่งจุดนี้แหละที่ทำให้เกมนี้มีระบบเศรษฐกิจที่จัดว่าอยู่ในระดับเทพเลยทีเดียว

Platinum 50 อันที่แจกฟรี ควรใช้ซื้ออะไร?
สำหรับไอดีใหม่ทุกไอดี เราจะได้รับ 50 Platinum มาฟรีๆ เลย เพียงแต่ 50 อันที่ว่านี้จะไม่สามารถทำการแลกเปลี่ยนส่งต่อให้กับผู้เล่นอื่นได้ มือใหม่ก็คงจะอยากรู้ว่าแล้วไอ 50 Platinum นี่เอาไว้ซื้ออะไรดีล่ะ ซึ่งเราก็แนะนำว่าให้เอาไปซื้อ Warframe Slot 1 อัน ราคา 20 Platinum และ Weapon Slot อีก 2 อัน ราคาอันละ 12 Platinum (รวมเป็น 24) ส่วนเศษ 6 ทีเหลือก็ทิ้งไว้นั่นแหละ ทำไรต่อไม่ได้ล่ะ สำหรับวิธีการซื้อก็ไม่ยาก ให้กดเปิดเมนูหลักขึ้นมา แล้วเลือกไปที่คำว่า ตลาด (Market) > อุปกรณ์ > สล็อต จากนั้นให้กดซื้อเฉพาะอันที่เขียนว่า สล็อตของ Warframe และ สล็อตของอาวุธ (2 อัน) อย่ากดผิดล่ะ อันอื่นไม่ค่อยจำเป็นสำหรับมือใหม่เท่าไหร่นัก


Warframe Market เว็บไซต์ตลาดซื้อขาย ที่ทำให้การซื้อขายเป็นเรื่องง่าย
เนื่องด้วยภายในเกมไม่มีระบบมาตั้งร้านค้าขายไอเทมกันเอง จะมีก็แต่ประกาศขายตามรีเลย์ต่างๆ ก็เลยมีคนพัฒนาเว็บไซต์ที่ให้มาตั้งรับซื้อรับขายของภายในเกมกันได้ และได้รับความนิยมมาก แถมข้อดีสำหรับมือใหม่ก็คือ สามารถตรวจสอบราคาของสินค้าได้ด้วยนั่นเอง ทำให้เรารู้ว่าของชิ้นนี้ราคาประมาณเท่าไหร่ จะได้ไม่ถูกหลอกนั่นเอง ส่วนวิธีการใช้งานเว็บไซต์นี้ก็สามารถตามไปดูไกด์ได้ที่ วิธีการใช้งานเว็บซื้อ-ขาย ตลาดกลาง

ความเก่งของ Warframe และความแรงของอาวุธ ไม่ได้อยู่ที่เลเวล แต่อยู่ที่ Mod
ในระหว่างที่เล่นอยู่เราก็จะเห็นข้อความที่บอกว่าเลเวลของ Warframe หรือว่าอาวุธของเรามันอัพ ผู้เล่นใหม่ก็คงคิดว่ามันน่าจะทำให้ตัว Warframe และอาวุธของเราแรงขึ้นใช่มั้ยล่ะ แต่มันไม่ใช่แบบนั้น สำหรับเลเวลจะมีผลเพิ่มความสามารถในกับ Warframe เล็กน้อยและปลดล็อคกับอัพเลเวลสกิลให้ตามระดับเลเวลอยู่บ้าง ส่วนทางด้านอาวุธนี่ไม่ได้ส่งผลอะไรเลย นอกจากเพิ่มความจุของ Mod ส่วนที่สำคัญที่อยากให้ Warframe ของเราเก่ง อึด ใช้สกิลได้เยอะ หรืออยากให้อาวุธมันโจมตีได้แรงจะอยู่ที่การใส่ Mod ให้กับมันต่างหาก ดังนั้นภายในเกมนี้ Mod เป็นอะไรที่สำคัญมาก

อย่าอัพเลเวล Mod ให้ถึงเลเวล 10
สำหรับ Mod บางชนิดนั้นเราจะเห็นว่ามีเลเวลสูงสุดอยู่ที่เลเวล 5 อันนั้นไม่เป็นไรสามารถอัพเต็มได้เลย แต่สำหรับ Mod บางใบที่มีเลเวลสูงสุดอยู่ที่ 10 นั้น แนะนำว่าอย่าไปอัพเต็มเลเวล 10 เด็ดขาด เพราะว่ามันเปลือง Endo และ Credit มากเกินไป แนะนำให้อัพไว้ที่เลเวล 5 ก่อน ถ้ามี Endo เหลือก็อัพไปเลเวล 8 ก็พอ แต่ไม่ 10 เด็ดขาด ซึ่งระหว่างจากเลเวล 8 ไป 10 นั้น ไม่คุ้มค่ากับ Endo และ Credit ที่เสียไปเลย เนื่องด้วยมือใหม่ยังไม่ค่อยมี Endo เยอะเท่าไหร่นัก สู้เก็บเอาไว้ใช้อัพเลเวล Mod ใบอื่นจะคุ้มค่ามากกว่า เอาไว้ช่วงท้ายเกมที่มี Endo เหลือเฟือจริงๆ ค่อยมากดอัพ Mod จากเลเวล 8 ไป 10 ทีหลังก็ยังได้

อาวุธเลเวลเต็มแล้ว ควรเปลี่ยน เพื่อเพิ่ม Mastery Rank (MR)
สำหรับพวกอาวุธต่างๆ หากเราเก็บมันจนเลเวลเต็มแล้วที่ขึ้นคำว่า Max Rank ปกติจะอยู่ที่เลเวล 30 นั่นแหละ ทีนี้เมื่อเต็มแล้ว ก็ควรจะเปลี่ยนเป็นอาวุธใหม่ทันทีเลย สาเหตุเป็นเพราะว่า เมื่อเราสะสมเลเวลของอาวุธจนเต็ม มันจะเพิ่มค่า Mastery Rank ให้กับเรา ซึ่งไอเจ้า Mastery Rank นี่แหละ คือเลเวลหลักของไอดีเรา ยิ่งเพิ่มก็จะปลดล็อคระบบต่างๆ รวมไปถึงทำให้เราใส่อาวุธที่มันดีขึ้นได้ด้วย ดังนั้นในเวลาเล่นหากเห็นว่าอาวุธอันไหนมันเต็ม 30 แล้ว ก็ให้เปลี่ยนใส่อาวุธอื่นได้เลย และขายอาวุธเก่าทิ้งไปเพื่อเป็นการประหยัด Slot ในการเก็บไอเทม ส่วนเรื่องของ Mastery Rank สามารถดูรายละเอียดได้ที่ ระบบ ความเชี่ยวชาญ (Mastery)

อาวุธใหม่ๆ สามารถหาซื้อแบบแปลนได้ในเมนู ตลาด (Market)
สำหรับมือใหม่อาจจะยังไม่รู้ว่าจะไปหาอาวุธใหม่ๆ มาเพื่อใช้ในการเก็บเลเวล Mastery Rank ยังไงดี จริงๆ แล้วหาได้ไม่ยากเลยเพียงแค่ให้เรากดเปิดเมนูหลักขึ้นมา เลือกไปที่ ตลาด (Market) > อาวุธ จากนั้นให้สังเกตุที่แถบตัวกรอง ก็ให้เราเลือกกดปิดทั้ง 3 ไอคอนนั้นได้เลย ทีนี้เราก็จะได้เห็นเฉพาะอาวุธที่มันขายแบบแปลนที่เราสามารถใช้เครดิตซื้อได้ในราคาถูกๆ เลย หลังจากที่ซื้อแบบแปลนมาแล้ว ก็ให้เราไปที่โต๊ะคราฟ ถ้าหากวัตถุดิบอะไรก็ให้เราไปหามา พอครบก็กดคราฟทิ้งเอาไว้ได้เลย เราสามารถกดคราฟของได้พร้อมกันหลายชิ้นไม่จำกัดจำนวน ส่วนวิธีการหาวัตถุดิบเบื้องต้นในการสร้างอาวุธต่างๆ ให้ดูได้ที่ วิธีการฟาร์มหาทรัพยากรแต่ละอย่าง




อาวุธบางชนิดก่อนขายให้ตรวจสอบก่อน
ในเกมนี้ช่องเก็บของทั้ง Warframe และอาวุธต่างๆ นั้นมีจำนวนจำกัด และให้มาน้อยมากๆ เลยล่ะ สำหรับมือใหม่ในเวลาที่เราเก็บเลเวลของอาวุธเต็มแล้ว ทีนี้ก็ให้ไปหาอาวุธใหม่มาใส่ ส่วนอันเก่านี่ก็ควรที่จะขายมันทิ้งไปได้เลย เพียงแต่จะมีอาวุธบางอันที่มันจะกลายเป็นวัตถุดิบในการสร้างอาวุธชิ้นอื่นต่อด้วย ทำให้เราไม่ควรจะขายมันไป ซึ่งสามารถตรวจสอบได้ที่ Warframe Wiki

สล็อต (ช่องเก็บของ) ภายในเกมจำกัด สามารถขยายพื้นที่ด้วย Platinum
อย่างที่ได้บอกไปก่อนหน้าแล้วว่าสล็อคหรือพื้นที่ในการเก็บทั้งตัว Warframe, อาวุธ และอุปกรณ์อื่นๆ มีพื้นที่ค่อนข้างจำกัด แต่เราก็สามารถซื้อสล็อตพวกนี้ได้ด้วย Platinum นี่แหละ ทำให้มือใหม่เมื่อเล่นไปสักพักก็ควรจะต้องเริ่มหาช่องทางในการหา Platinum หลักๆ ก็เพื่อขยายช่องของ Warframe และ อาวุธ

วิธีการหา Platinum สำหรับมือใหม่
จริงๆ แล้วภายในเกมวิธีการหา Platinum ค่อนข้างทำได้หลากหลายวิธีเลยทีเดียว เพียงแต่สำหรับมือใหม่เราก็แนะนำอยู่ 2 วิธีก็คือ ลง Relic หาอุปกรณ์ Prime ให้ครบเซ็ทแล้วขายให้ผู้เล่น ส่วนรายละเอียดดูได้ที่ ระบบ เรลิก (Void Relic) ส่วนอีกวิธีก็คือการฟาร์มหา Corrupted Mods จะทำได้ตอนไปถึงดาวเดมอส และมีแคลนแล้ว ส่วนวิธีการหา Corrupted Mods ดูได้ที่ บทสรุป ปลดล็อคทางเชื่อมต่อดาวยูโรปา (Europa Junction) แล้วเลื่อนลงไปล่างๆ หน่อยก็จะเจอ ส่วนวิธีการอื่นๆ ที่หา Platinum ได้ลองดูคลิปของ ลุงแมว ก็ได้ ในคลิปเขาได้แนะนำวิธีต่างๆ ในการหา Platinum เอาไว้ให้ศึกษาแล้ว
Warframe Wiki คัมภีร์ของเกม
สำหรับเว็บไซต์ Warframe Wiki นี้ จะรวบรวมข้อมูลทุกอย่างภายในเกมเอาไว้ โดยมีทีมงานของผู้สร้างเกมเองนี่แหละมาคอยใส่ปรับและใส่ข้อมูลเข้าไป ไม่ว่าเราต้องการจะรู้อะไรมันก็มีให้ อยากหาของชิ้นไหน มันก็มีข้อมูลให้ เพียงแต่เว็บไซต์จะเป็นภาษาอังกฤษเท่านั้นเอง แต่สำหรับคนที่ไม่เก่งภาษาอังกฤษก็สามารถใช้งานเว็บนี้ได้ไม่ยากหรอก เพียงแค่หากเราต้องการหาอะไรก็ให้ไปพิมพ์ชื่อสิ่งของนั้นๆ ในช่อง ค้นหา ที่อยู่ทางขวาบนของเว็บได้เลย จากนั้นดูที่หัวข้อ Acquisition จะระบุเกี่ยวกับวิธีการหาแบบแปลนของสิ่งที่เราต้องการได้

Forma ไอเทมจำเป็น ควรกดสร้างทุกวัน
สำหรับมือใหม่ที่เริ่มรู้จักกับระบบ Relic กันแล้ว หลังจากนี้ก็แนะนำให้เลยว่าให้พยายามหาแบบแปลนของ Forma มาเก็บสะสมเอาไว้ด้วย เพื่อทำการสร้าง Forma ในทุกวันเลย โดยการสร้าง 1 อันจะใช้เวลา 23 ชั่วโมง ทำให้สร้างได้วันละอันนี่แหละ ส่วนประโยชน์ของ Forma ก็คือ จะช่วยทำให้เราสามารถใส่ Mod ดีๆ ให้กับอุปกรณ์ได้เยอะขึ้น โดย Warframe หรือ อาวุธ 1 ชิ้น ที่เราอยากจะปั้นมันให้สุด ต้องใช้ Forma ถึงประมาณ 5-7 ชิ้นเลยทีเดียว ดังนั้น Forma จึงสำคัญมากในการทำให้ตัวละครและอาวุธของเรามันเก่งขึ้นนั่นเอง สำหรับรายละเอียดสามารถดูได้ที่ รายละเอียดของ Mod


โบนัส Login เข้าเกมประจำวัน อย่าพลาดเพราะมันมีของดีรออยู่
ในทุกวันที่เราล็อคอินเข้าเกม ทางระบบก็จะมีการแจกของรางวัลเล็กๆ น้อยๆ มาให้กับเรา เพียงแต่ในทุก 200 วัน จะมีการแจก Mod พิเศษ 3 อย่างด้วยกันให้เราเลือก Primed Fury, Primed Shred, Primed Vigor พอเลือกไปแล้วก็รออีก 200 วันถึงจะมีให้เลือกใหม่ เพียงแต่ในตอนที่ครบ 400 วันจะมี Mod พิเศษอย่าง Primed Sure Footed มาให้เราเลือกด้วย สำหรับ Mod ตัวนี้ขอบอกเลยว่าดีมากห้ามพลาดเด็ดขาด ซึ่งไอเจ้า Primed ทั้ง 4 ใบที่ว่ามานี้ เราจะไม่สามารถแลกเปลี่ยนกับผู้เล่นคนอื่นได้ จะหาได้เฉพาะสำหรับคนที่ Login ครบกำหนดทุก 200 วันเท่านั้น ทำให้การล็อคอินเข้าเกมจึงสำคัญมากเลยทีเดียว

Companion App ช่วยกดสร้างของเวลาไม่เข้าเกม
อันนี้คือชื่อแอพที่มีอยู่ใน iOS และ Android ที่สามารถเชื่อมต่อไอดีของเรากับในข้อมูลในเกมได้ สำหรับประโยชน์หลักของมันก็คือ เราสามารถกดคราฟของและกดรับของคราฟได้ผ่านทางแอพได้โดยไม่ต้องเข้าเกมเลย ซึ่งจะมีประโยชน์มากสำหรับการกดใช้คราฟ Forma ในทุกวัน เพียงแค่เราเตรียมของให้พร้อมเอาไว้ก็พอ สำหรับใครที่สนใจก็เข้าไปโหลดแล้วล็อคอินเข้าเกมเข้าไปได้เลย
Android: https://play.google.com/store/apps/details?id=com.digitalextremes.warframenexus
iOS: https://apps.apple.com/app/warframe-companion/id698910075

ธาตุและสถานะในเกม
ภายในเกมนี้จะมีระบบธาตุและสถานะต่างๆ ที่มีความเป็นเอกลักษณ์เฉพาะตัวไม่เหมือนกับเกมอื่น ดังนั้นแนะนำว่าควรศึกษาระบบเกี่ยวกับธาตุให้ดี โดยดูได้ที่นี่เลย ระบบธาตุ และสถานะความเสียหาย

การ Hacking
ในเรื่องของการ Hacking เป็นหนึ่งในระบบพื้นฐานที่ผู้เล่นทุกคนต้องเจอ สำหรับในช่วงแรกการ Hacking นี้จะทำได้ไม่ยากหรอก เพียงแต่พอไปถึงจุดหนึ่งแล้ว ขอบอกเลยว่ามันยากมากจริงๆ ถ้าเกิดว่าไม่รู้เคล็ดลับในการ Hacking เชื่อเถอะว่าน่าจะพลาดกันอยู่เป็นประจำเลยทีเดียว แต่แน่นอนว่ามีเทคนิคแนะนำสำหรับการ Hacking มาให้อยู่แล้วก็ตามไปดูได้ที่ เทคนิคการแฮ็กเครื่อง

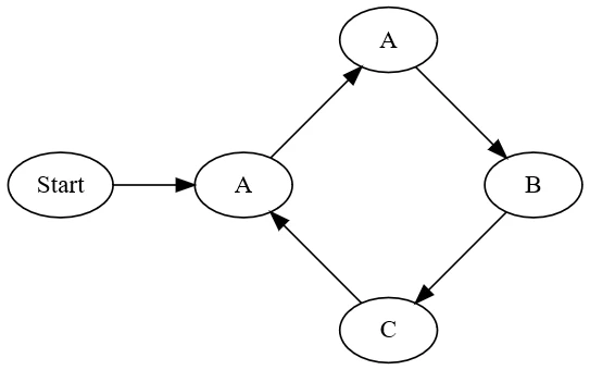
รางวัลจบภารกิจ A-B-C
เรื่องนี้เป็นอีกหนึ่งพื้นฐานที่อยากแนะนำให้ทุกคนรับรู้กันเอาไว้ เพราะว่ารูปแบบการดรอปไอเทมหลังจบภารกิจของเกมนี้มีความเป็นเอกลักษณ์เฉพาะตัวเอามากๆ โดยเฉพาะในภารกิจรูปแบบที่ทำอย่างต่อเนื่องได้เรื่อยๆ และแบบแปลนหายากบางอันก็เกี่ยวกับการดรอปในรูปแบบ A-B-C ที่ว่านี้ด้วย ส่วนมันจะเป็นยังไงให้ตามไปอ่านรายละเอียดกันได้ที่ รางวัลจบภารกิจ รูปแบบ A-B-C

บูสเตอร์ ลดเวลาในการฟาร์ม
ภายในเกมนี้จะมีสิ่งที่เรียกว่า บูสเตอร์ที่เป็นตัวช่วยลดเวลาในการฟาร์มได้ ซึ่งก็จะมีหลากหลายแบบ ทั้งบูสเตอร์ทรัพยากร ทำให้ทรัพยากรที่เก็บจะเพิ่มเป็น 2 เท่า, บูสเตอร์เครดิต เพิ่มเครดิตที่ได้รับ 2 เท่า, บูสเตอร์เพิ่มดโอกาสดรอปทรัพยากร เพิ่มโอกาสในการดรอปนั่นเอง และบูสเตอร์แอฟฟินิตี้ ที่ได้รับแอฟฟิตนิตี้เพิ่ม EXP เป็น 2 เท่านั้น โดยตัวบูสเตอร์จะแยกขายกันและแบ่งออกเป็นแบบ 3 วัน, 7 วัน และ 30 วัน ถ้าหากใครที่พอมีงบเติม Platinum มานิดหน่อยก็แนะนำให้ซื้อ บูสเตอร์ทรัพยากร ก็นับว่าเป็นตัวเลือกที่ดีมาก ทำให้ลดเวลาในการฟาร์มหาทรัพยากรไปได้เยอะเลยทีเดียว ส่วนวิธีการซื้อให้ไปที่หัวข้อ ตลาด > อุปกรณ์ > บูสเตอร์ แล้วก็อย่าลืมปิด ตัวกรองก่อนล่ะ เดี๋ยวจะมองไม่เห็น

เกมนี้คือมิตรแท้ของสายฟรี
ที่บอกว่าเป็นมิตรก็เพราะว่า ของทุกอย่างภายในเกมนี้เราสามารถหามันมาใช้งานได้ฟรี ไม่จำเป็นต้องเสียเงินสักบาท แถมของพรีเมียมและของแฟชั่นโดยส่วนใหญ่ก็ยังสามารถหาซื้อได้โดยการใช้ Platinum ซึ่งอย่างที่ได้บอกไปว่า ต่อให้เป็นสายฟรีก็สามารถฟาร์มหาของแล้วเอาไปขายกับผู้เล่นเพื่อแลก Platinum มาได้ แต่จะมียกเว้นไอเทมแฟชั่นบางชนิดเท่านั้น ที่จะต้องใช้เงินจริงในการซื้อเท่านั้น ซึ่งนับว่าน้อยเอามากๆ และของแฟชั่นพวกนี้ก็ไม่ส่งผลกับความเก่งกาจของผู้เล่นเลยสักนิดเดียว ทำให้มันคือเกมแห่งมิตรแท้ของสายฟรี
